PLC直线等分如何编程 S7-200SMART 圆形轨迹的算法及程序

小编 94 0

S7-200SMART 圆形轨迹的算法及程序

(一)电气设备

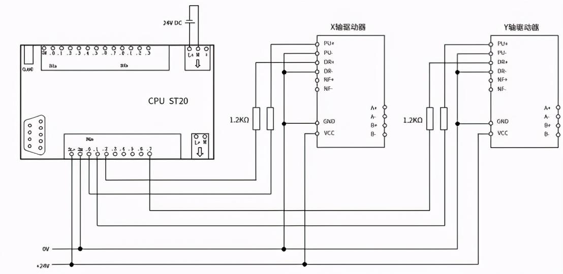
(1)原理图:Q0.0为X轴脉冲,Q0.2为X轴方向;Q0.1为y轴脉冲,Q0.7为y轴方向

(2)实物图:三个步进驱动器,三套电机配合丝杆,定义往电机方向移动为正方向,丝杆的逻辑为4mm,步进驱动的细分设置为3200个脉冲一转。如下图所示:

(二)走圆轨迹算法

西门子S7-200SMART系列PLC不支持圆弧插补功能,所以需要自己根据算法进行计算后分别驱动X轴和Y轴的移动从而来实现画圆功能,要驱动XY轴画圆,可采用极限逼近法,把画圆弧变成画线段,如下图所示左侧为六等分,角度a=30°,右侧为十二等分,角度a=15°。

从上图中可以看出,当等边多边形的边越多时,则多边形的轨迹就越和圆相近,所以当角度a足够小时,则得到的多边形轨迹就越与圆接近。根据以上分析需要完成画圆功能,我们需要知道“圆心坐标值”、“圆的半径”、“画圆的速度”,然后根据分为三部分来实现:

1、画笔移动到圆上

把XY轴分别回原点,回原点后的位置默认为XY平面坐标的原点,然后由原点移动到圆心坐标,如下图所示1#点为圆心,2#点为圆上点。

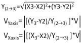
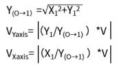
假设1#点的坐标为(X1,Y1),速度为V,则X轴移动的距离为X1,Y轴移动的距离为Y1。根据勾股定理可计算出原点到圆心的距离“Y(0→1)”、X轴移动速度“VXaxis”和Y轴移动速度“VYaxis” ,计算公式如下所示:

当画笔到达1#点后,然后Y轴不动,X轴以V的速度移动半径R的距离到达圆上2#点位置,假2#点的坐标为(X2,Y2)

2、画笔开始画圆

画笔从2#点位置开始移动画圆,假设下个圆上的点为3#点,坐标为(X3,Y3),从圆心到3#点和从圆心到2#点的角度为a,如下图所示:

根据三角函数可计算出3#点的坐标(X3,Y3)的值分别为:

X3=Cos(a)*R+X1,Y3=Sin(a)*R+Y1

根据勾股定理可计算出XY轴要移动的距离 “Y(2→3)”的值。X轴移动速度“VXaxis”和Y轴移动速度“VYaxis” ,计算公式如下所示:

注:此时X2和Y2为X轴和Y轴的当前位置,X3和Y3为X轴和Y轴要移动的目标位置,速度需要取绝对值。

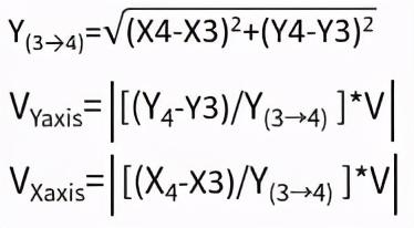
同理:当画笔到达3#点后,角度变为2a,则对应的圆上点为4#点,坐标为(X4,Y4),如下图所示:

根据三角函数可计算出4#点的坐标(X4,Y4)的值分别为:

X4=Cos(2a)*R+X1,Y4=Sin(2a)*R+Y1

根据勾股定理可计算出XY轴要移动的距离 “Y(3→4)”的值。X轴移动速度“VXaxis”和Y轴移动速度“VYaxis” ,计算公式如下所示:

注:此时X3和Y3为X轴和Y轴的当前位置,X4和Y4为X轴和Y轴要移动的目标位置,速度需要取绝对值。

依次下去,每走完一次后,角度自加一次,当角度值大于360°时,则认为画圆完成。

(三)PLC程序

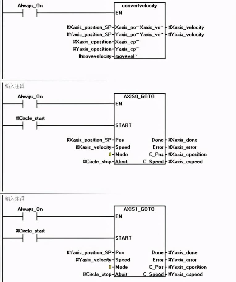
根据分析,对于S7-200SMART系列PLC的程序设计主要分为“运动向导的组态配置”、“初始与会原点程序”、“速度计算程序”、“开始画圆程序”

(1)初始化和回原点

(2)速度换算程序

(3)画圆程序

子程序结构

程序运行

【延伸阅读】S7-200 SMART 运动控制指令详解

S7-200 smart 运动控制指令由编程软件向导生成,运动控制指令有很多条构成,且每条指令都带有很多接口参数,想要使用这些指令,要先知道接口是什么意思,虽然帮助文章都有解释,但读懂帮助文件也很费劲,今天就详细给大家介绍运动指令的使用。

S7-200 SMRAT 运动控制指令如下图生成:

1、选择"运动"右键打开。

2、本次就以"轴0"为例。

3、命个名字。

4、数字1位选择工程单位,可以使工程单位,也可以使用脉冲。

数字2是电机旋转一圈的脉冲量,我目前步进拨码设定是10000个脉冲旋转一周

数字3是单位,根据自己需要设定

数字4是电机旋转一圈的工程量,我设定的是360度,也就是说10000个脉冲对应360度。

5、方向控制,我是用的脉冲加方向,所以选择单项2轴。

6、正负极限根据需要设定,我这个没有正负极限就没有选择。

7、零电位使用,走绝对位置和相对位置之前一定要定义好原点,否则绝对位置和相对位置不运行。

8、0脉冲位置,也可以使用此点定义0点。

9、停止根据需要选择,通过阅读STP就能理解什么意思。

10、停止根据需要选择,通过阅读TRIG就能理解什么意思。

11、禁用根据需要选择,通过阅读DIS就能理解什么意思。

12、最大速度和最小速度根据现场情况设定,我设定最大速度为360度/秒。

13、JOG命令也就是手动运行,根据需要设定速度,建议设定小一些,看看运行速度再调整。

14、此处设定加减速时间,也就是脉冲输出的加减速时间,根据现场情况设定。

15、急停补偿。

16、反冲补偿,也就是校准丝杠间隙。

17、参考点设定

18、找零点时速度和方向设定。

19、偏移量设定

20、搜索参考点方式选择

21、从驱动器中读取绝对位置

22、曲线设定,我这里没用曲线,没有生成曲线。

23、点"建议"自动分配地址。

24、组件

25、映射显示

26、完成,点击生成就完成了。

1.启用并初始化轴

AXISx_CTRL子程序(控制)启用和初始化运动轴,方法是自动命令运动轴每CPU更改为RUN模式时加载组态/曲线表。在项目中只对每条运动轴使用此子程序一次,并确保程序会在每次扫描时调用此子程序。使用SM0.0(始终开启)作为EN参数的输入。

管脚含义:

MODE:启用模块。1=可发送命令;0=中止进行中的任何命令

Done:完成标志位

Error:错误代码(字节)

C_Pos:轴的当前位置(绝对定位或者相对定位),工程单位:Real型数据;相对脉冲:DINT型数据

C_Speed:轴的当前速度,Real型数据

C_Dir:轴的当前方向(1=反向,0=正向)

2.手动控制轴

AXISx_MAN子例程(手动模式)将运动轴置为手动模式。这允许电机按不同的速度运行,或沿正向或负向慢进。在同一时间仅能启用RUN、JOG_P或JOG_N输入之一。

管脚含义:

RUN:1=轴手动运行(速度和方向分别由Speed和Dir管脚控制)0=停止手动控制

JOG_P:1=正转点动控制

JOG_N:1=反转点动控制

Speed:RUN运行时的目标速度,Real型数据

Dir:RUN运行时的方向

Error:错误代码(字节)

C_Pos:轴当前位置(绝对定位或者相对定位),工程单位:Real型数据;相对脉冲:DINT型数据

C_Speed:轴当前速度,Real型数据

C_Dir:轴的当前方向(1=反向,0=正向)

3、查找参考点

走绝对位置和相对位置前需要找到真实的零点,绝对位置和相对位置才能根据零点运行。

AXISx_RSEEK子程序(搜索参考点位置)使用组态/曲线表中的搜索方法启动参考点搜索操作。运动轴找到参考点且运动停止后,运动轴将RP_OFFSET参数值载入当前位置。

管脚含义:

START:每接通一个扫描周期,就执行一次查找参考点(参考点查找方式由轴组态确定)

Done:完成标志位

Error:错误代码(字节)

4.绝对或者相对定位

AXISx_GOTO子程序命令运动轴转到所需位置。

管脚含义:

START:每接通一个扫描周期,就执行一次定位

Pos:目标位置(绝对定位为坐标点,相对定位为两点间距离),工程单位:Real型数据;相对脉冲:DINT型数据

Speed:目标速度,Real型数据

MODE:移动模式0:绝对位置 1:相对位置 2:单速连续 正向旋转 3:单速连续反向旋转

Abort:停止正在执行的运动

Done:完成标志位

Error:错误代码(字节)

C_Pos:轴当前位置(绝对定位或者相对定位),工程单位:Real型数据;相对脉冲:DINT型数据

C_Speed:轴当前速度,Real型数据

运动控制基础知识+PLC控制步进电机+脉冲当量的计算您搞清楚了么

私信“干货”二字,即可领取138G伺服与机器人专属及电控资料!

步进电机作为一种常用的电气执行元件,广泛应用于自动化控制领域。步进电机的运转需要配备一个专门的驱动电源,驱动电源的输出受外部的脉冲信号和方向信号控制。每一个脉冲信号可使步进电机旋转一个固定的角度,这个角度称为步距角。脉冲的数量决定了旋转的总角度,脉冲的频率决定了旋转的速度。

方向信号决定了旋转的方向。就一个传动速比确定的具体设备而言,无需距离、速度信号反馈环,只需控制脉冲的数量和频率即可控制设备移动部件的移动距离和速度;而方向信号可控制移动的方向。因此,对于那些控制精度要求不是很高的应用场合,用开环方式控制是一种较为简单而又经济的电气控制技术方案。

另外,步进电机的细分运转方式非常实用,尽管其步距角受到机械制造的限制,不能制作得很小,但可以通过电气控制的方式使步进电机的运转由原来的每个整步分成m个小步来完成,以提高设备运行的精度和平稳性。控制步进电机电源的脉冲与方向信号源常用数控系统,但对于一些在运行过程中移动距离和速度均确定的具体设备,采用PLC(可编程控制器)是一种理想的技术方案。

运动控制基础知识+PLC控制步进电机+脉冲当量的计算您搞清楚了么

丝杠的螺距是指:丝杠每两个丝之间的距离,如,螺距为 5MM。

电机的步进角是指:一个脉冲驱使步进电机转动的角度,如,步进角为1.8度的电机,转一圈就要:360度×1.8度 =200个脉冲。

驱动器的细分是指:把步进角再分割成N等分,如,8细分就是把1.8度的步进角再分成8分,细分后电机每一步进就是1.8度÷8=0.225度,转一圈就要:360度÷0.225度=1600个脉冲。

电机参数是指:每一步进所走的长度,螺距为5的丝杠每转一圈走5MM,每一步进就是5÷1600=0.003125MM/步进。

脉冲当量是指:每走1MM所要的脉冲数,用1除以电机参数就是脉冲当量,如:1÷0.003125=320个步进。

私信“干货”二字,即可领取138G伺服与机器人专属及电控资料!

相关问答

诊断试剂灌装工艺流程怎么样的?-敏敏的回答-懂得

管子放于理瓶器中,由理瓶器整理成列,再由气缸逐个送入等分盘中,等分盘作16等分的间歇运动,瓶子随等分盘转动;经灌装工位时,灌装头分二次灌装;再经戴...