新亿成plc编程 「PLC编程必备」二,十六进制数如何能转换成十进制数?

小编 91 0

「PLC编程必备」二、十六进制数如何能转换成十进制数?

二、十六进制数转换成十进制数前面已经有初步的讲解,其值为各个位码乘以位权然后完全相加。

一般地说,一个N进制数如果有n位(从0,1,…..n-1位),则其十进制公式为:

我们这里就以二,十六进制为例说明:

例一:试把二进制数B11011转换成等值的十进制数。N=2,n=5,

从中可以看出,

为0 的位,其值也位0 ,可以不用加,这样把一个二进制数转换为十进制数只要把位码为1的权值相加即可。

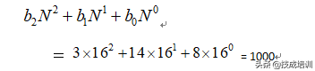
例二:试把十六进制数H3E8转换成十进制数。N=16,n=3.

其计数过程和二进制完全一样。

上篇精彩内容回顾:

PLC编程必备:讲解二、八、十、十六进制数【6月2号】

电气大神手把手教你用博图V17编写一个PLC程序,简单明了!

众所周知博途软件更新的很快,但很多朋友发现,博途V17和旧的版本在组态的时候,有一些变化,本文就手把手教你使用博途V17,编写一个简单的PLC项目。

先上干货:博途软件安装包!

工欲善其事必先利其器,没有博途软件都是白搭,所以给大家准备了从博途V14-18各个版本的软件包合集 ,大家可根据自身需求下载!

该演示在虚拟机中,使用的博途V17软件版本实现。具体操作步骤如下:

1、鼠标双击博途软件图标:

2、依次选择“启动”- “创建新项目”,

选择存放路径,并命名,最后选择创建。如图所示:

3、打开项目视图:

4、在项目树下,鼠标双击“添加新设备”,

在弹出窗口选择“控制器”,依次选择对应的CPU型号,并确认名称和版本,最后点击确认,如图所示:

5、添加新设备后,

与博途V16其它版本不同的是,博途V17有一个弹出窗口,需要进行PLC安全设置。首先设置PLC数据密码,如图所示:

6、设置完毕,点击下一步,如图所示:

7、使用HMI安全通信,再点击下一步,如图所示:

8、设置PLC访问密码,如图所示:

9、PLC安全设置完毕,点击完成。

10、选择垂直分布的双视图编辑器,

一边打开“设备和网络”-“设备视图”,一边打开“Main”程序块,如图所示:

11、在程序段1中,

选择该编程线,在点击“常开触点”指令,如图所示:

12、选中编程线,再选择“常闭触点”,

如图所示:

13、选中编程线,再选择“赋值”,

如图所示:

14、选中编程线,再选择“打开分支”,

如图所示:

15、选中编程线,再选择“常开”,

如图所示:

16、选中编程线,再选择“嵌套闭合”,

如图所示:

17、从设备视图中的输入和输出信号,

选中并拖入到程序中,如图所示:

18、右击符号地址,重命名变量,

如图所示:

19、编译(可以理解检查程序有没有错)一下程序,

查看编译的结果,如图所示:

编译无误后,该程序则编写完毕。也实现了在博途V17软件中,编写第一个PLC程序。接下来就是下载PLC程序了。在本文中,不展开说明。如果你有更多关于博途软件的使用问题,欢迎留言交流。

文章来源:技成培训网原创,作者:刘郴;未经授权禁止转载,违者必究!

博途V14-18各个版本的软件包合集

大家可根据自身需求下载!

相关问答

plc编程步骤方法?

常用的PLC编程方法有经验法、解析法、图解法。经验法:即是运用自己的或别人的经验进行设计,设计前选择与设计要求相类似的成功的例子,并进行修改,增删部分功...

plc程序如何编译?

PLC程序的编译通常是通过PLC编程软件完成的。以下是一般的PLC程序编译步骤:1.打开PLC编程软件:根据PLC品牌和型号选择相应的编程工具,打开对应的编程软件。...

欧姆龙软件编程的梯形图后怎么样上传到plc里-ZOL问答

1、硬件准备:将PLC用编程电缆和电脑连接,并安装电缆驱动(USB的要,串口不要)。2、软件准备:在编程软件中通信设置PLC类型、通信类型中toolbus,选择所要连接的串...

怎么把编好的程序放入PLC-ZOL问答

用电缆线连接电脑和PLC电脑要装有COM口驱动(没有装驱动接线没反应)然后再电脑...编程软件的在线选项里面选择传输设置把COM口设置成你电脑位置的COM口设置好...

plc触摸屏一体机怎么编程?

其实你理解错了,绝大部分触摸屏编程是直接连接电脑编程,而不是连接PLC编程,连接PLC只是使用编好的程序读写PLC数据的,编程的时候不需要连接任何PLC,但是要定...

plc块怎样建立?

方法第一步:打开GXWorks2软件,新建程序,选择你的PLC型号,然后请选择程序语言为SFC,点击确定,跳出块信息设置。标题不填写,块类型选择梯形图块,点击执行...

plc屏幕编程方法?

PLC(ProgrammableLogicController)的屏幕编程方法可以根据具体使用的PLC品牌和型号而有所不同。下面是一般的PLC屏幕编程方法的概述:1.软件选择:确定你所...

欧姆龙PLC现在是十六进制,怎么转换十进制显示?

2种方法:1.你可以自己通过计算机进行十六进制到十进制地转换;2.也可以通过程序里面对应的转换指令进行转换。2种方法:1.你可以自己通过计算机进行十六进制...

同型号plc能直接替换吗?

同型号PLC能直接替换吗?★同型号PLC能直接替换它们。不过新换去的PLC由于没有原来的程序,得将原来的PLC程序写进新更换的PLC中。因为更换新的PLC里面是没有程...

plc初始化程序如何编写三种方法?

PLC的初始化程序主要是指PLC在上电启动时运行的程序。下面介绍三种常用的PLC初始化程序编写方法:1.使用自定义函数块可以在PLC编程软件中新建一个自定义函...