课程中心
HOME
课程中心
正文内容
永宏plc编程伺服 PLC伺服控制实例讲解!成功都是可以复制的!
发布时间 : 2026-01-16
作者 : 小编
访问数量 : 23
扫码分享至微信

PLC伺服控制实例讲解!成功都是可以复制的!

设备:

1.永宏PLC: FBS-24MCT 1 台

2.GSK 伺服1 套: Di20-M10B(驱动器)/80SJT-M032E(电机)

3.DC24V 开关电源1 个

4.信号线若干

查看驱动器引脚定义并选择控制模式

位置控制模式:查看伺服引脚定义,这里用最少的信号线实现电机转动。

SON:为ON 时,开启伺服使能。当然伺服使能功能可以通过参数来修改,该信号可由参数PA54 设置。

PA54=0:只有当外部输入信号SON 为ON 时,电动机才能被使能;

PA54=1:驱动单元内部强制电动机使能,而不需要外部输入信号SON。

CCW/CW:驱动禁止信号,一般和行程开关配合使用,避免超程,该信号可由参数PA20 设置。

PA20=0:使用驱动禁止功能;

PA20=1:不使用驱动进制功能。

RDY:驱动单元准备好信号,当电机通电励磁时该信号有输出。

位置指令输入信号

这里位置输入信号可以采用差分驱动或者单端驱动接法,由于选用的FBS-24MCT 为集电极开路

输出形式,所以采用单端驱动接法。

伺服驱动单端驱动方式限定外部电源最大电压为25V 时,需要串接一个限流电阻R

依据:Vcc=24V,R=1.3KΩ~2KΩ;Vcc=12V,R=510KΩ~820KΩ;Vcc=5V,R=0;

频率限制为:

PLS/DIR:最高脉冲频率500KHZ

U/D:最高脉冲频率500KHZ

A/B:最高脉冲频率300KHZ

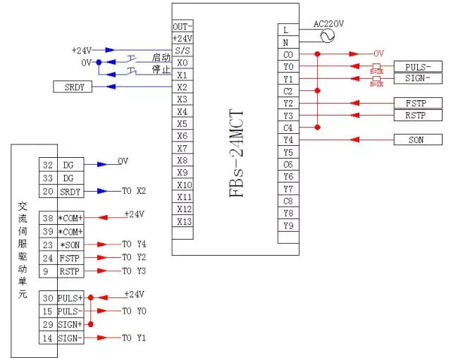
控制线制作

GSK 随机附带一个44 针插座,依据引脚图,把需要的控制信号接线出来。在这里把有可能用到

的信号线都接出来,但是这些信号在伺服控制中并不都是必要的,下图中用蓝色线表示伺服的输出

信号给PLC 的输入,红色表示PLC 的输出给伺服的输入,另外开关电源的正、负分别用红、蓝表示。

1)选取需要的控制信号

38引脚——24V、33引脚——0V

2)伺服同PLC 的接线图

这里从伺服给PLC 的输入信号只取了SRDY,PLC 给伺服的信号有SON、FSTP(CCW)、RSTP(CW)、PULS/SIGN 这几个信号。

伺服调试

取出驱动器、电机,电机至驱动的编码器连接线和电机至驱动的电源线,出厂都已配置好,这里只要按照指示接好即可。

把PLC 至驱动器的控制信号线接好。

1.伺服的手动调试

1)伺服参数设定

GSK 伺服上电之后,可以先采用驱动器本身自带的手动功能,该功能模式下,伺服的转动由驱动器按键来控制,进入PA 参数菜单,设置一下参数:

PA4=3:手动方式,在SR-菜单下操作,用↑、↓键进行加、减速操作。

PA20=1:驱动禁止功能无效,此时只是利用驱动器本身来调试,所以把CCW\CW 功能先屏蔽。

PA54=1:驱动单元内部强制电机使能,而不需要外部输入信号SON。

参数设置完成以后,保存后下电。

2)手动运行步骤

1.驱动器上电,显示R - 0,是电机运行速度监视窗口。

2.检查PA1 参数是否和使用的电机代码一致。

3.以上2 步都无误后,进入“SR- /SR-RED” 菜单下后,按↑、↓键开始运行电机。

2.PLC 控制运行伺服在手动调试下运行正常,现在进入PLC 的上位控制,该控制中PLC 的从伺服引入的IO 如下:

Input:

SRDY——X2

Output:

PULS-: Y0

SIGN-: Y1

CCW: Y2

CW: Y3

SON: Y4

为了控制方便,这里先把CCW\CW 信号使能屏蔽。

1) 伺服参数设置

PA4=0: 位置方式。

PA12:电子齿轮倍频系数(电子齿轮分子),设为2。

PA13: 电子齿轮分频系数(电子齿轮分母),设为1。

PA14=0:位置方式下,脉冲输入模式:脉冲+方向。

PA15=0: 位置指令方向维持原指令方向。

PA20=1: 驱动禁止功能无效(即屏蔽CCW/CW 使能信号)。

PA54=0: 外部SON 使能。

参数修改完毕后,存储后下电,重新上电。

2) 相关计算

在这里先做一个伺服电机的多段速运行程序,运动过程

1.以速度1000RPM 转10 圈

2.接着以速度1200RPM 转20 圈

3.接着以速度1400RPM 转30 圈

4.接着以速度1600RPM 转40 圈

5.接着以速度1800RPM 转50 圈

6.接着以额定速度2000RPM 运行60 圈

7.停顿一定时间后,从第1 步开始重复。

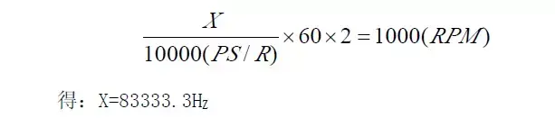
由手册知道,伺服每转1 圈,编码器反馈10000PS,又电子齿轮设定为2,所以PLC 每发出5000PS,伺服就转动1 圈

即第一段行程10 圈对应的脉冲数=10 圈×5000PS/圈=50000PS,其它段的行程脉冲计数同此式。

把伺服需要的速度转化成PLC 的脉冲数,以1000RPM 为例,假设PLC 需要发出的脉冲数为X,

电子齿轮设定是2,则有

由此公式,可求得其它速度所对应的PLC 脉冲数。

3) PLC 参数的设置

FBS-24MCT 的脉冲输出点共有4 轴( 8 点),为Y0~Y7,默认Y0~Y3 为高速200K,Y4~Y7 为中速20K。

要使得PLC 的高速点输出脉冲时,需要先对这几个点的输出进行组态,点击永宏编程软件菜单栏中的“专案\IO 组态”进入组态页面

4) 程序的编写

设置完成之后即可进入程序的编写。

5) NC定位表格的编辑

用鼠标左键点击FUN140 指令,然后在英文输入状态下,按键盘上的Z 键进入NC 定位

表格的编写,最终结果如下

6)子程序内容

INIT 子程序主要是做一些初始化,如下

SPEED 子程序,主要把输入的速度和形成转化成PLC 所需要产生的脉冲个数,这里以第1段速度和行程的换算为例,由于这里伺服的额定转速为2000RPM,所以在速度设定的时候,要防止输入转数超过该值。

7) 上电运行调试

程序编写完成后,让PLC 处于RUN 状态,在输入页中进行数值监控,如下

总结 :由于该示例中PLC 的输入信号只从伺服抓取了SRDY,其它点位的接入同SRDY 的接法一样。PLC输出给伺服的信号只有PLS\DIR、SON 这3 个信号,其它信号的接法类似。GSK 伺服只需要极少的几根控制线就可以实现伺服的运转,永宏PLC 的定位指令全部在NC 表格中填写即可。

附图:

永宏PLC在贴标机上的应用

图1-2贴标机设备图

2

系统设计方案

2.1 方案背景

在与其他厂牌的产品进行对比,发现永宏的PLC和触摸屏在性价比方面优势较大,所以该控制系统采用了以FATEK永宏的FBs系列PLC为控制核心,以FATEK永宏的Unicon系列HMI为操作核心,以FATEK永宏的FID系列变频器以及A3系列的伺服系统为运控核心。

2.2 客户需求

根据机械结构和工艺要求,贴标机主要需要实现三大部分的功能:A面贴标工序,翻转折边工序,B面贴标工序。另外细分的话还需要实现以下多种控制要求:6轴的回原点功能,Y轴与Z轴的自动寻零点及偏移功能,Z轴与X轴的同步运动功能,机械手的取料放料功能,A、B面的单动功能,总而言之,

贴标机的具体工艺及功能要求如下表2-1:

要求1设备操作简单易学,触摸屏画面美观,可以实时监控设备的运行状态要求2各个轴的自动寻零点以及偏移功能要求3卷料的Z轴和送料的X轴需要速度、距离的同步要求4能够实现A面和B面的单动操作,在测试的时候可单独使用要求5所有的气缸和伺服都需要在触摸屏上面显示报警功能要求6做好所有工序之间的动作互锁功能......

表2-1 贴标机的具体工艺及功能要求

2.3 解决方案

根据控制及工艺要求,贴标机控制方案主要包括系统硬件设计和系统软件设计;其中系统硬件设计包括硬件(产品)配置、机械结构、气动控制和电气控制等四部分;系统软件设计包括流程控制、I/O配置和程序设计等三部分;贴标机的设计参数如表2-3;贴标机的实物图如图2-3-1。

表2-2贴标机的设计参数 图2-2-1贴标机的实物图

基于上述各项技术指标,本方案控制系统采用两台永宏FBS系列MC定位控制型PLC控制器,主要控制贴标机的所有控制动作;通讯模块采用两台永宏FBS-CB5通讯模板来实现主从站PLC之间的高速CPU Link;伺服控制系统采用的是A3系列控制器,分别控制各个轴之间的动作流程;气动控制系统采用多通道SMC单相电磁阀,用来控制多组气缸及夹具之间的动作;上位机则采用的是永宏经济型HMI操作界面,用于进行功能选择,手动操作,参数设置,报警显示和单动流程的用户操作。

3

系统硬件设计

贴标机的系统硬件设计主要包括四部分:硬件配置、机械结构、气动控制和电气控制;其中硬件配置主要对电气产品的配置进行了说明,机械结构主要对结构的组成和结构的解析进行了说明,气动控制主要对气动部分的组成进行了说明,电气控制主要对主电路,控制电路和电器柜配线进行了说明。

贴标机的系统硬件设计架构图如图3-1。

图3-1贴标机的系统硬件设计架构图

3.1 硬件配置

贴标机选用的是永宏FBs-60MCT2-AC为主机,FBs-40MCT2-AC为从机;同时选用I/O扩展模块FBs-16Y+FBs-20X,以及永宏的2个FBs-CB5的通讯板卡;同时选用永宏

HU102E-00的触摸屏;控制单元采用的是永宏A3系列的伺服,整套方案能够帮助客户节约很多系统成本。

贴标机

系统硬件系统清单如图表3-1。

设计参数实物效果图控制系统永宏PLC操作界面永宏HMI伺服驱动A3伺服气动驱动SMC电磁阀通讯类型永宏标准通讯协议工作气压0.6MPa-0.8MPa工作效率16S/PCS工作环境温度5-40度湿度10-90%硬件明细表产品类型产品型号产品数量永宏PLCFBs-60MCT2-AC1台FBs-40MCT2-AC1台永宏模块FBs-CB52台永宏I/O扩展模块FBs-16Y1台FBs-20X1台永宏触摸屏HU102E-001台

表3-1 系统硬件系统清单

3.2 电气控制

贴标机的电气控制主要分为主电路和控制电路两部分。主电路使用AC220V供电,火线采用2.5平方的单芯红色PVC线,零线采用2.5平方的单芯黑色PVC线,地线采用2.5平方的黄绿PVC线;主电路主要供给4个伺服驱动器及2个步进驱动器、主从站PLC控制单元、开关电源、散热风扇等部件供电,并通过电源指示灯来显示;控制电路采用24V供电,信号或电源(+)采用0.5平方的多芯红色PVC线,信号或电源(-)采用0.5平方的多芯黑色PVC线;控制电路主要给触摸屏、电磁阀、传感器和指示灯等控制信号供电;控制电路还采用中间继电器等电气部件进行控制电路中间的控制转换。贴标机PLC主站控制电路原理图3-2-1,贴标机PLC从站控制电路原理图3-2-2。

如图3-2-1贴标机PLC主站控制电路原理图

如图3-2-2贴标机PLC从站控制电路原理图

4

系统软件设计

贴标机的系统软件设计主要包括三部分:流程控制、I/O点配置和程序设计;其中流程控制主要对工艺流程和控制流程进行了说明,I/O点配置主要对PLC输入输出点的配置和伺服引脚接线配置进行说明,程序设计主要对PLC程序和触摸屏程序进行了说明。

贴标机的系统软件设计架构图如图4-1。

图4-1 贴标机的系统软件设计架构图

4.1 工艺流程

贴标机的工艺流程主要分为三大流程:A面贴标工序、翻转折边工序和B面贴标工序;这三部分的工艺流程是按照顺序进行的,但是这三部分之间也要有互锁关系(后一个动作没完成或是卡料了,前面是不能放行的),否者会照成撞机,从而达到很好的工艺效果。贴标机的工艺流程如图4-1-1。

图4-1-1贴标机的工艺流程

4.2 控制流程

工艺控制流程一

A面贴标工序:首先复位回原点,启动,送料检测到有料且X轴在原点,送料电机启动、Y轴寻零并偏移、Z轴寻零,完成后X轴偏移指定的位移,等X轴偏移完成后,延时后贴标气缸下降,进行A面贴标动作,直到完成贴标动作。如图4-2。

图4-2 A面贴标工序图

工艺控制流程二

翻转折边工序:首先A面送料电机将产品流出,翻面停止点检测到有料,送料电机停止、翻面气缸下降进行吸真空,真空达到设定值后翻转,机械手过来取料,当折边停止点检测到,机械手开始放料并完成折边工序。如图4-3。

图4-3 翻转折边工序图

工艺控制流程三

B面贴标工序:首先送料电机将产品传送,送料检测到有料且X轴在原点,送料电机停止、Y轴寻零并偏移、Z轴寻零,完成后X轴偏移指定的位移,等X轴偏移完成后,延时后贴标气缸下降,进行B面贴标动作,直到完成贴标动作。如图4-4。

图4-4 B面贴标工序图

4.3 PLC功能指令应用

FUN140定位功能指令

1. FUN140(HSPSO)指令的 NC 定位程序是以文字的程序书写方式来编辑;每一定位点我们称一步(含输出频率、动作行程、转移条件) ,一个 FUN140 最多可编 250 步定位点,每一步定位点需占用 9 个缓存器。

2. 将定位程序存在缓存器最大好处是,如果结合人机作机台操控设定,则可将定位程序存入,直接通过设置速度,而且还可以通过改变速度寄存器的值,来进行多段加减速。

高速通讯程序

由于设备需要控制6轴,起初在确定方案时就考虑到使用2个PLC主机进行高速联机通讯,高速通讯采用的是永宏专用的PORT2通讯口,最高速度可达到912.6kbps;主要用于主站PLC与从站PLC之间的数据共享和动作信息的互换,高速联机程序分为主站程序和从站程序,主站为永宏FUN151 MD3模式,从站则只需要将特殊寄存器M1958置1即可。通过指令表格就可以完成程序的编辑,为使用者提供了极大的方便。

FUN140指令多段速应用

由于设备在做贴标的过程中需要2个轴的同步动作,即X轴将产品向前移动,Z轴卷料伺服将标签送料前进;这就需要X轴与Z两个伺服同步动作,此时我用X轴的作为基准,Z轴的移动距离与速度是根据X轴来确定的,确认两者的同步性,通过线性转换设定一个比值,可调节这个比值来做微调动作,与此同时还需要将特殊寄存器M2000置1(多轴同动)。同时140指令中的多段速使用DRVC连续多段(多段速的最后一步需要使用DRV指令)。

FUN141伺服参数指令

在进行贴标机PLC整体程序设计和规划时,参数设置程序采用的是永宏FUN 141(伺服参数设置)指令来对伺服的相关参数进行设置;一条参数指令既能完成参数设置程序的编辑,为程序编辑和调试提供了极大的方便。

4.4 HMI画面程序设计

功能选择画面

贴标机的功能选择画面主要用于自动运行、手动运行、参数设定、报警信息和I/O画面等画面的选择和切换。

手动运行画面

贴标机的手动运行画面主要用于1#、2#、3#的气缸、普通电机、伺服电机点动、正反转手动控制,并且所有的伺服电机都可以通过参数设定速度。

参数设定画面

贴标机的参数设定画面主要用于伺服电机与步进电机的速度和长度的设定与调节,以及多段速的设置。其中还包括气缸的动作延时。

I/O监控画面

贴标机的监控画面主要用于主站PLC与从站PLC的输入输出点的在线监控,可以方便用户随时观察到点的在线状态。

实施结果

通过现场调试,贴标机的运行效率为16s/Pcs,并再进行精度测试,通过外观检测,贴标的误差大约在正负0.5mm;而且贴标机在运行过程中运行平稳、生产效率高;从而提高客户的生产效率,降低了劳动强度,节约了人工成本,改善了工作环境

相关问答

台达PLC能同时分别控制六台伺服驱动器么?-ZOL问答

要看哪款了,而且看同步要求,一般同步要求不高的可以,建议用欧姆龙或者永宏的若是6台伺服不需要联动或者是最多两轴同动。那很简单,不需要增加定位模块或者是控...

有哪些提高伺服系统定位精度的方法?

你好,伺服系统包含5大部件:伺服电机、PLC控制、减速器、螺杆或者齿条传动、装配配合度。要定位精准就从上面这几大部件出发。一、伺服电机,一般来说,都很准确...

 赵菲芸dodolook  福州市时代中学 
王经理: 180-0000-0000(微信同号)
10086@qq.com
北京海淀区西三旗街道国际大厦08A座
©2026  上海羊羽卓进出口贸易有限公司  版权所有.All Rights Reserved.  |  程序由Z-BlogPHP强力驱动
网站首页
电话咨询
微信号

QQ

在线咨询真诚为您提供专业解答服务

热线

188-0000-0000
专属服务热线

微信

二维码扫一扫微信交流
顶部